
Page 2 Cadillac Engine Identification Cad Company Online Catalog
Ford Engine Block Casting Numbers

Page 2 Cadillac Engine Identification Cad Company Online Catalog
Technical 429 Ci Engine Numbers The H A M B
Engine Block Casting Numbers 63 64 Cadillac Website
Block Casting Numbers Litre Pontiac

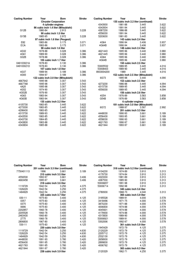
Mopar Engine Block Casting Numbers

Page 2 Cadillac Engine Identification Cad Company Online Catalog

How To Identify Engine Yr Ranger Forums The Ultimate Ford Ranger Resource
Caddy Engine Casting Numbers The H A M B
Caddy Engine Casting Numbers The H A M B
Engine Block Casting Numbers 63 64 Cadillac Website
Engine Type Print On Block Engine Cadillac Owners Forum

Page 2 Cadillac Engine Identification Cad Company Online Catalog
1955 331 Cylinder Head Casting Numbers
Caddy Engine Casting Numbers The H A M B

Page 2 Cadillac Engine Identification Cad Company Online Catalog
A 390 In A 58 From The Factory

Page 2 Cadillac Engine Identification Cad Company Online Catalog
No comments:
Post a Comment